远大阀门,流体阀门行业的领军企业!
-
产品中心远大阀门有限公司产品涉及到国标、美标、德标、日标、俄标等标准,材质主要有灰铁、球铁、WCA、WCB、WCC、LC1、LCC、CF3、CF8、WC6、WC9、C5、C12等30余种,产品主要有闸阀、截止阀、球阀、蝶阀、止回阀等12大类,200多个系列,4000多个规格,年生产能力10万余吨,广泛应用于水利、化工、市政建设、电力、冶金、医药等国民经济各个领域。远大阀门集团有限公司在美国和韩国建立子公司,并与美国克瑞、日本大和、哈萨克斯坦豪斯拉夫等国际知名企业建立了长期稳定的合作关系,产品远销美国、俄罗斯、韩国、日本、德国、英国、法国、意大利、巴西、中亚、西亚等40多个国家和地区,深受客户的信赖和好评。
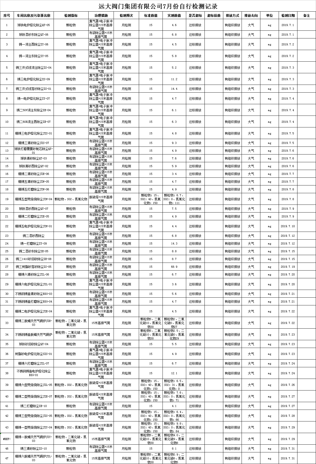
远大阀门集团有限公司2019年7月份污染物检测记录
发布时间:
2019-07-10

关键词:
推荐阅读
2025-09-17 16:46
2025-09-02 16:25
2025-08-14 11:39
2025-07-08 09:31
2025-06-28 17:10